湖南省数字经济与文化产业高质量发展的耦合协调分析
|
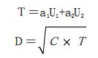
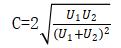
——基于长江经济带11省的实证 邹以琦 曾洁 (湖南理工学院经济与管理学院,湖南 岳阳 414000) 摘要:基于2013-2022年长江经济带11个省(市)的数据,构建数字经济与文化产业高质量发展评价指标体系,运用熵值法、耦合协调度模型等方法对两系统耦合协调水平进行测度分析,研究发现:湖南省数字经济水平综合指数整体呈提升趋势,文化产业高质量发展综合指数起点比数字经济发展水平高,也呈现稳步提升的态势,表明湖南省在抢抓数字经济发展机遇和推进文化产业高质量发展方面,增长效应都较明显。但无论是数字经济,还是文化产业的高质量发展水平在长江经济带11省中一直居于中等水平。湖南省数字经济与经济高质量发展的耦合协调度由2013年的中度失调到2018年提升为濒临失调,后虽保持稳定提升趋势,但仍未能突破濒临失调的区间。由此,提出提升数字经济与文化产业高质量协调发展的优化意见。 关键词:数字经济;文化产业高质量发展;耦合协调;长江经济带 一、问题的提出 2023年,中国数字经济规模突破53.9万亿元,其增长对GDP增长的贡献率高达66.45%①。在“数字中国”战略与全球科技革命浪潮的交织下,数字经济已成为重塑产业格局的核心驱动力。作为国民经济的支柱性产业,文化产业既是推动产业结构升级的重要抓手,也是实现区域经济高质量发展的关键路径。横贯东中西部11省份的长江经济带,既是国家"双循环"战略与"十四五"规划的核心承载区,也是区域发展差异的典型样本——其数字经济与文化产业发展的梯度落差,正为中国经济高质量发展提供着极具研究价值的观察窗口。 地处长江中游的湖南省,凭借“承东启西”的区位优势,在连接沿海开放与内陆发展的战略通道中占据关键节点。作为文化资源大省,其深厚的文化积淀与坚实的产业基础,在云计算、5G、物联网、区块链等新一代信息技术深度赋能的背景下,正孕育着数字经济与文化产业融合发展的巨大潜能。如何通过数字技术创新驱动文化业态升级,将数字经济势能转化为文化软实力,已成为湖南建设文化强省、实现文化产业高质量发展的破题关键。对长江经济带沿路11个省(市)数字经济与文化产业高质量发展的耦合协调关系的系统研究,不仅关乎区域协同发展效能的提升,更将为全国经济高质量发展提供可资借鉴的实践范式。 二、文献回顾 “数字经济”这一概念最早于1994年出现在外文报道中,并在1996年首次被引入行业文献。Tapscott(1996)指出,数字经济是一个广泛运用信息与通信技术的经济系统,涵盖了基础设施、电子商务以及B2B、B2C和C2C等多种交易模式。此后,数字经济逐渐引起了世界各国和学术界的广泛关注。2016年,G20杭州峰会在其发布的《二十国集团数字经济发展与合作倡议》中对数字经济作出了权威界定:“数字经济是指以数字化知识和信息为关键生产要素,以现代信息网络为重要载体,以信息通信技术的有效应用为提升效率和优化经济结构的重要推动力的一系列经济活动。”这一定义在国内得到了广泛的认可与采用。 在数字经济与文化产业高质量发展的研究领域,国外学者多从两者之间的关系与影响角度展开探讨。Cores 和 Sandler(1996)指出,数字技术产品能够以接近零的边际成本与用户共享服务或产品,同时不会对原始信息造成损害。Goldfarb 和 Tucker(2019)在此基础上进一步研究,认为这种特性降低了文化产品搜索成本,从而激发了文化产品供需的多样性,推动了文化产业的发展。Philippe(2017)则发现,数字经济对文化产业政策的制定与执行具有影响,但这种影响通常存在一定的滞后性。Nicola(2022)基于意大利博物馆的实证数据研究发现,数字技术的应用有助于吸引游客、降低运营成本、提升参观体验,并增强应对市场竞争的能力。此外,新冠疫情的爆发进一步加快了数字技术在文化产业中的应用,从而促进了产业的持续发展。 国内学者在这一领域也贡献了许多研究成果。范周(2020)指出,数字经济促进了传统文化产业的转型与升级,提升生产效率与文化经济水平。黄蕊等人(2021)构建模型发现文化产业数字化赋能效果呈倒 “U” 型,建议加大投入、升级结构、完善政策。惠宁和白思(2021)的研究证实,互联网对文化产业的发展具有显著的促进作用及正面的空间溢出效应,市场化和人才资源条件好时融合度更高。 魏鹏举(2021)提到,中国文化产业的高质量发展目前处于“低投入-低产出”的阶段,数字经济提供赶超契机,建议文化与科技创新结合突破难题。周锦和王廷信(2021)提出创新型文旅融合推动产业高质量发展,城市应贯彻融合理念,推进数字化转型和虚拟旅游。车树林和王琼(2022)从多视角分析,认为应从数字治理、产业融合、技术革新以及数字人才这四个方面来推动文化产业的高质量发展。周锦和张银芬(2024)认为数字经济发展能够显著推动文化产业结构升级,且数字经济对文化产业结构升级具有显著的正向空间溢出效应,以及明显的区域异质性。 通过以上文献的梳理可以看出,高质量发展不仅是文化产业发展的内在要求,更是其发展的必然趋势。尽管学者们已从现状、路径和目标等方面对文化产业的高质量发展进行了较为系统的研究,但对数字经济与文化产业高质量发展的协同机制的探讨和实证分析相对较少。鉴于此,本文以2013-2022年的长江经济带11省面板数据为样本,探讨数字产业化与文化数字化双向驱动的耦合机理与发展模式,为湖南建设文化强省、实现文化产业高质量发展提供可资借鉴的实践范式。 三、数字经济与文化产业高质量发展的耦合协调机理 数字经济对文化产业高质量发展的驱动作用主要体现在以下几个方面: 第一,数字技术赋能文化生产。首先,数字技术为文化内容的创作、生产提供了新的工具和平台,如AI辅助创作、虚拟现实技术等,提升了文化产品的丰富度和多样性。其次,数字化技术能够改进文化产品的制作流程,提升生产效率,并减少成本,从而提升文化企业的竞争力;此外,数字版权保护技术的不断发展,为文化产品提供了更安全的传播和交易环境,促进了文化产业的健康发展。 第二,数字化技术催生新兴文化业态涌现。在线视频、网络游戏、电子书、数字音乐等新型文化消费方式,扩大了文化消费市场。数字化技术也为文化IP的运营提供了新的渠道和方式,如IP衍生产品开发、IP授权等,提升了文化IP的商业价值。 另外,虚拟现实(VR)、增强现实(AR)等技术为用户带来了沉浸式的文化体验,丰富了文化消费场景。 第三,数据驱动文化产业发展。大数据分析、推荐算法可以帮助文化企业更好地了解消费者需求,为用户推荐个性化的文化产品,进行精准营销,提升用户体验,提高营销效率,同时可以优化文化产业链,提高资源配置效率,降低成本。 第四,文化产业数字化转型。数字化技术可以将传统文化资源数字化,扩大其传播范围,使其焕发新的生机。此外,文化企业借助数字化转型,能够优化管理流程、削减运营开支,并提升其在市场中的竞争优势。 同时,文化消费的个性化需求反哺数字技术迭代,形成“需求牵引技术—技术激活场景”的闭环,数字经济与文化产业并非单向技术赋能,而是通过要素流动、技术迭代与制度创新的动态适配过程,数字经济与文化产业的耦合协调,是数字技术驱动文化产业转型升级,提升文化产品供给质量,满足人民群众日益增长的精神文化需求的必然趋势。这种耦合协调不仅促进了文化产业的高质量发展,也为数字经济注入了新的活力。 四、指标体系构建及数据来源 根据陆建栖等(2022)学者的研究成果,并结合数字经济的定义,同时参考了中国信通院发布的数字经济指数,本研究在数字基础、数字产业化及数字创新这四个维度上,选定了19个三级指标,构建了一套评估数字经济发展水平的指标体系。在构建文化产业高质量发展的评估体系时,本研究不仅融入了新发展理念的核心要素,还从产业基础、规模、人力资本、效益以及创新能力这五个方面制定了具体的衡量标准。考虑到省级数据的可获取性,最终选取的指标如表1所示。 表1 数字经济和文化产业高质量发展评价指标体系 ![]() 本文以长江经济带涵盖的11个省(市)为研究对象,收集2013-2022年间的相关指标数据,旨在对数字经济与文化产业高质量发展之间的耦合协调关系开展实证分析。数据主要来源于2014-2023年度《中国科技统计年鉴》、《中国信息产业年鉴》、《北京大学数字普惠金融指数》、《中国互联网发展报告》、《中国文化及相关产业统计年鉴》以及《中国统计年鉴》。 五、分析方法 1.熵值法 为避免权重赋值的主观偏差,本研究采用熵值法对数字经济和文化产业高质量发展水平进行综合评价。步骤包括指标标准化处理、计算信息熵、确定指标权重、计算综合指数,具体计算过程参考杨孟阳[6]等的研究。 2.耦合协调度模型 社会作为一个复杂系统,其内部资源、生态、经济与社会等子系统之间存在着多重相互关联和耦合机制。耦合效应与耦合协调发展度已经成为评估两个或多个系统之间相互作用和协调程度有效的评价研究工具。该模型简便易算且结果直观,具体研究步骤为:首先,基于耦合协调模型,测算耦合度C,评估数字经济与文化产业两系统间交互影响的耦合协调程度,计算模型如下: 其中,U1代表为数字经济发展程度,U2代表文化产业高质量发展综合指数,耦合度C值越大,则代表U1和U2耦合度越好。 其次,计算耦合协调度模型: ![]() D为耦合协调度,T为两个系统综合发展水平对耦合协调度的贡献,鉴于两个子系统对耦合协调度同等重要,权重系数a1与a2均赋值为0.5。同时,借鉴廖重斌等学者的主流做法,本文将耦合协调度分为极度失调衰退类(0<D≤0.09)、严重失调衰退类(0.1<D≤0.19)、中度失调衰退类(0.2<D≤0.29)、轻度失调衰退类(0.3<D≤0.39)、濒临失调衰退类(0.4<D≤0.49)、勉强协调发展类(0.5<D≤0.59)、初级协调发展类(0.6<D≤0.69)、中级协调发展类(0.7<D≤0.79)、良好协调发展类(0.8<D≤0.89)、优质协调发展类(0.9<D≤1)10种状态。 六、数字经济与文化产业高质量发展的耦合协调分析 1.数字经济与文化产业高质量发展水平综合评价 基于熵值法的测度结果显示(表2),2013-2022年间湖南省数字经济与文化产业高质量发展指数整体呈持续增长趋势,仅2021年因疫情滞后效应出现小幅回调,并且在长江经济带11省中一直稳居第7位。文化产业高质量发展水平起点比数字经济发展水平高,研究期间也呈现稳步提升的态势,由2013年的0.108提升至2022年的0.267,上涨幅度达147.22%,尤其是2022年,环比增幅达到36.92%。这表明湖南省在抢抓数字经济发展机遇和推进文化产业高质量发展方面,增长效应都较明显,但离经济更发达的江苏、浙江等省份仍存在一定的差距。 表2 湖南省数字经济和文化产业高质量发展综合指数 ![]() 2.长江经济带数字经济与文化产业高质量发展耦合协调度分析 通过耦合协调度模型的测算结果(见表3)显示,在2013年至2022年间,长江经济带各省(市)的数字经济与文化产业高质量发展的耦合协调度表现出明显的区域差异:在整个观察期内,除了2021年长江上、中、下游地区的耦合协调水平均略有下调之外,总体趋势呈现上升状态,且三大区域协调度整体呈梯度递减特征(下游>中游>上游)。江苏省从2013年勉强协调发展提升为2022年的良好协调发展,浙江省紧随其后。四川省是长江经济带上游省份,在数字经济和文化产业高质量发展耦合协调发展方面一直领跑其他中上游省(市),2022年实现了初级协调发展,仅次于江苏省、浙江省和上海市。这为其他省份数字经济与文化产业高质量协调发展起到了提供了可参考的范式样本。 表3 长江经济带数字经济和文化产业高质量发展耦合协调发展情况 ![]() 基于耦合协调度模型测度发现(表4),2013-2022年湖南省数字经济与文化产业经济高质量发展的耦合协调度由2013年的0.276上升为2018年的0.409,耦合协调类型由中度失调提升为濒临失调,2019到2022年,耦合协调度除2021年有稍许下降外,一直保持稳定提升趋势,但仍处于濒临失调状态,这说明未来湖南省数文融合仍有明显提升余地,建议未来应更加专注于探索数字经济推动文化产业高质量发展的机制,研究这两个领域融合发展的规律,以促进它们之间的深度融合。 表4 湖南省数字经济和文化产业耦合协调度 ![]() 七、结论与建议 本文基于熵值法和耦合协调度模型,实证测算了长江经济带11个省(市)2013-2022年的面板数据,探讨湖南省数字经济与文化产业高质量发展的耦合协调关系。实证测算结果表明,湖南省数字经济水平综合指数除2021年受疫情滞后性影响出现小幅下降外,整体呈稳步提升态势,而文化产业高质量发展综合指数起点比数字经济发展水平高,研究期间也呈现稳步上升的趋势,表明湖南省在抢抓数字经济发展机遇和推进文化产业高质量发展方面,增长效应都较明显,但无论是数字产业还是文化产业的高质量发展水平在长江经济带11省中一直居于中等水平,离江苏省、浙江省、上海市、四川省等仍存在一定的差距。湖南省数字经济与经济高质量发展的耦合协调度由2013年的中度失调到2018年提升为濒临失调,后虽保持稳定提升趋势,但仍未能突破濒临失调的区间。目前,长江经济带11省中只有江苏省突破到了良好协调发展水平,未来湖南省数字经济与文化产业高质量发展的融合仍有明显提升余地。 根据上述分析结果,为促进湖南省数字经济与文化产业实现高质量耦合与协调发展,提出以下对策建议: 首先,应进一步推动数字经济与文化产业的深度融合,助力文化产业转型升级。研究显示,湖南省在实现数字经济与文化产业协同高质量发展方面具备较大的潜力。因此,应借助国家数字经济发展战略,依托数字平台和先进技术,加快文化产业的数字化进程,推动数字产业创新突破。具体而言,新型文化企业应紧抓发展机遇,运用大数据、云计算、物联网等前沿技术,提升自主创新能力,增强国际竞争优势。同时,对传统文企实施智能化升级,支持动漫、网络游戏等内容的创新研发,推动文化消费服务向数字化、云端化和智能化方向演进,打造多样化的文化消费场景。此外,应积极应用AR、VR、XR、5G、AI等先进技术,为美术馆、博物馆及新兴文化空间注入新动能,提升文化体验的沉浸感与互动性。这些新兴场景不仅丰富了文化产业的表现形式,也为数字经济培育出新的增长点,助力其持续发展。 其次,探索区域协作机制,助力数字经济与文化产业的深度融合。本文对长江经济带数字经济与文化产业的发展现状进行了实证测算,发现区域内确实存在一定程度的发展不平衡问题。为此,应充分发挥各地区各自的比较优势,推动实施产业差异化发展战略。具体来看,长江下游地区具备良好的产业基础和优越的地理位置,但正面临土地与人力成本上升带来的压力;而中上游地区尽管整体经济水平相对较低,却在资源储备和劳动力供给方面具有一定优势。为有效缩小区域间的发展差距,建议制定科学且有针对性的产业扶持政策,破除行政与市场壁垒,促进资源要素的跨区域流动。可依托“东数西算”等国家战略工程,引导下游地区的部分数字经济及文化项目向中上游地区有序转移。同时,中上游地区需加快完善交通网络和相关基础设施,提升数字技术的软硬件支撑能力,强化产学研用协同机制,积极创造良好环境,主动承接来自下游的产业转移。通过上下游地区之间的协同联动,不仅有助于优化产业空间布局,也将推动数字经济与文化产业在全流域实现更高质量的深度融合。 三是强化数字经济与文化产业高质量发展的人才培养。人才在推动数字经济与文化产业实现高质量协调发展过程中,具有关键性的作用。他们是技术创新的驱动力,也是实现协调发展的关键要素。为了有效培养相关人才,我们需要从顶层设计和长远规划入手,确保人才培养工作的系统性和连贯性。高校应积极响应时代需求,增设数字经济相关专业,为学生提供系统的理论知识和实践机会。同时,鼓励高校与企业建立紧密的合作关系,共建实训基地,让学生在真实的工作环境中锻炼技能,提升实践能力。此外,我们还应积极引进既懂技术又擅长管理的复合型人才。这类人才能够跨越技术与管理的界限,推动数字经济与文化产业的深度融合。为了吸引和留住这些人才,我们应优化就业落户政策,并提供具有竞争力的激励机制,确保他们能够在工作中充分发挥自己的才能。 四是强化湖南省数字经济与文化产业的核心竞争力,激发湖湘文化创新活力。 在推动数字经济与文化产业协同发展的过程中,湖南省致力于坚持创新驱动与科技自立自强,旨在构建各自的核心竞争优势,为两者的长远发展注入强劲动力。湖南省通过实施一系列创新战略,如加速推进“国家级互联网骨干直联点”等网络基础设施建设,全面提升城市宽带网络承载能力,为数字经济的高质量发展奠定坚实基础。同时,聚焦产业链中的技术瓶颈,整合各类创新资源,开展具有前瞻性和引领性的关键共性技术研究,力争突破核心关键技术,进一步巩固和提升数字经济的核心竞争力。在文化产业方面,湖南省充分利用丰富的文化资源,结合现代科技手段,推动文化产业数字化转型升级。通过数字技术的赋能,激活湖湘文化的创新活力,打造具有湖南特色的文化产业品牌,提升文化产业的附加值和市场竞争力。综上所述,湖南省应在推进数字经济与文化产业深度融合的进程中,始终坚持创新驱动和科技自立,持续提升核心竞争力,为两大领域的持续融合发展注入了强劲的内生动力。 此外笔者需说明的是,数字经济与文化产业高质量发展的互动机制具有理论复杂性和实践多维性的双重特征。当前学界对这一耦合协调关系的研究仍处于理论建构与实证探索的初级阶段,在基础理论框架、测度方法体系等方面尚未形成共识性标准,这使本文构建的综合评价体系不可避免地存在某些局限性:首先,多维指标系统虽能有效整合数字经济与文化产业系统的复杂要素,实现对耦合协调度的全景式观测,但其综合性特征也制约了对具体指标微观作用机制的深度解析,尤其是难以准确捕捉各要素间的因果关联;其次,在指标遴选过程中,尽管通过文献计量方法建立了理论支撑基础,但受制于研究范式差异、指标赋权方法多元以及统计数据可得性等客观约束,不同研究对同一问题的测度结果可能出现显著差异,即存在一定的主观性。
注释: ①数据引用自《中国数字经济发展指数报告(2024)》。
参考文献: [1]Tapscott, D.The Digital Economy: Promise and Peril in the Age of Networked Intelligence[M].New York: McGraw-Hill,1996. [2]黄蕊,李雪威,朱丽娇.文化产业数字化赋能的理论机制与效果测度[J].经济问题,2021(12):44-52. [3]惠宁,白思.互联网、空间溢出与文化产业发展——基于省域面板数据的空间计量分析[J].统计与信息论坛,2021,36(1):100-107. [4]魏鹏举.数字经济与中国文化产业高质量发展的辨析[J].福建论坛(人文社会科学版),2021(11):65-72. [5]周锦,王廷信.数字经济下城市文化旅游融合发展模式和路径研究[J].江苏社会科学,2021(5):70-77. [6]李锦宏,肖林.文化产业高质量发展的区际比较与动态演进[J].统计与决策,2022,38(4):88-93. [7]戴钰.湖南省文化产业集聚及其影响因素研究[J].经济地理,2013,33(4):114-119. [8]杨孟阳,唐晓彬.数字金融与经济高质量发展的耦合协调度评价[J].统计与决策,2023,39(3):126-130. [9]韩兆安,吴海珍,赵景峰.数字经济与高质量发展的耦合协调测度与评价研究[J].统计与信息论坛,2022,37(6):22-34. [10]廖重斌.环境与经济协调发展的定量评判及其分类体系——以珠江三角洲城市群为例[J].统热带地理,1999,19(6):171-177.
基金项目:湖南省教育厅科学研究项目一般项目(23C0216)——“数字经济赋能湖南省经济绿色高质量发展的效应与机制研究”(项目负责人:邹以琦);岳阳市社会科学研究课题一般项目(2023Y126)——岳阳市数字经济赋能绿色经济高质量发展的效应与机制研究(项目负责人:邹以琦) |

下一篇:没有了









湖南省数字经济与
江苏制造企业供应
基于游客感知价值
数字技术驱动下温
经济增长压力与地
桂东示范区承接产